金誠同達成立于1992年,總部位于北京,在上海、深圳、合肥、杭州、南京、成都、西安、沈陽、濟南設有分所,并在日本東京設有辦事處。今天,金誠同達已發展成為中國境內極具規模、最富活力的律師事務所之一。 在諸多業務領域,金誠同達都已成為行業里的領頭軍,能夠為客戶提供全方位、多層次、個性化的優質法律服務,業務范圍涵蓋公司設立與合規、資本市場、金融、保險、信托、房地產、項目融資、基礎建設、PE/VC、資產管理、并購、稅務、知識產權、互聯網、反壟斷、勞動法、訴訟與仲裁以及境外投資、外商投資、國際貿易、WTO爭端解決、跨境爭議解決等。
作者:明哥
來源:商業地產與電商(ID:smartplaza)
收益法是普遍認可的商業地產估值方法,收益法可進一步細分為直接資本化法、折現現金流法,租期及回收金額折現法。
1、直接資本化法
估值 V = A / r
其中A為毛租金或凈租金收益,r為對應的毛資本化率或凈資本化率。直接資本化法是一種靜態估值方法,適用于租金收益穩定的情況。
例1:某購物中心NOI值1億,資本化率6%
估值=NOI/資本化率=1億/6%=16.67億
2、折現現金流法(DCF)
折現現金流法通過預測商業物業的現金流并按照一定的貼現率計算物業的現值:

其中A為“凈物業收益”現金流,r為折現率。折現現金流法屬于動態估值方法,是理論上最準確的估值方法。
例2:接上例1,該購物中心
--初始投資成本10億;
--持有期5年,期末處置資本化率6.5%;
--租金增長率3%;
--貼現率9%;

(1)期末處置收入=第6年NOI/期末資本化率=11593/6.5%=178350萬元;
(2)各年現金流按9%貼現率折現,合計得到物業估值15.7億元;
(3)IRR為10.9%;
(4)內含資本化率=1億/15.7億=6.4%
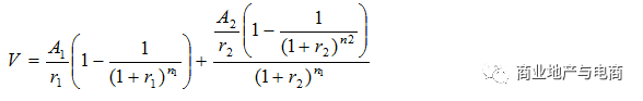
3、租期及回收金額折現法(T&R)
通過計算商業地產租期內和租期外的價值后加總形成整體物業的價值,

其中A1為現有租約租金收益,r1為租期內資本化率,n1為現有租約剩余租期;A2為市場租金水平,r2為租期外資本化率,n2為租約外剩余土地年期。
例3:接上例2,該購物中心
--現有租約租期5年,租約外剩余土地使用年限35年;
--現有租約年毛租金收益14286萬元,市場租金水平15000萬元;
--租約內毛資本化率8%,租約外9%
(1)租期內價值=毛租金收益/毛資本化率*年期調整系數
14286/8%*(1-1/(1+8%)^5)=57039萬元
(2)租期外價值
15000/9%*(1-1/(1+9%)^35)*(1+1/(1+8%)^5)=107874萬元
(3)市場估值=租期內價值+租期外價值
57039+107874=164913萬元
注:文章為作者獨立觀點,不代表資產界立場。
題圖來自 Pexels,基于 CC0 協議
本文由“商業地產與電商”投稿資產界,并經資產界編輯發布。版權歸原作者所有,未經授權,請勿轉載,謝謝!
原標題: 商業地產估值測算邏輯(附案例)

商業地產與電商 













