金誠同達成立于1992年,總部位于北京,在上海、深圳、合肥、杭州、南京、成都、西安、沈陽、濟南設有分所,并在日本東京設有辦事處。今天,金誠同達已發展成為中國境內極具規模、最富活力的律師事務所之一。 在諸多業務領域,金誠同達都已成為行業里的領頭軍,能夠為客戶提供全方位、多層次、個性化的優質法律服務,業務范圍涵蓋公司設立與合規、資本市場、金融、保險、信托、房地產、項目融資、基礎建設、PE/VC、資產管理、并購、稅務、知識產權、互聯網、反壟斷、勞動法、訴訟與仲裁以及境外投資、外商投資、國際貿易、WTO爭端解決、跨境爭議解決等。
作者:王彬
來源:負險不彬(ID:fuxianbubin)

資產評估屬于價值判斷的范疇,而價值判斷是交易過程中無法回避的根本問題,作為使用專業理論和方法對資產的價值進行定量的估計和判斷的方法,在任何經營過程中都無法回避,具體到資產評估的內容上,根據《中華人民共和國資產評估法》第二條規定,“資產評估是指評估機構及其評估專業人員根據委托對不動產、動產、無形資產、企業價值、資產損失或者其他經濟權益進行評定、估算,并出具評估報告的專業服務行為。”目前《國際評估準則》(IVS)、美國《專業評估執業統一標準》(USPAP)以及英國皇家特許測量師學會評估準則(RICS紅皮書)對資產評估的規定主要都是從資產評估報告的要素和內容進行規范,有鑒于此,對于資產評估的流程、方法和使用詳解也是以資產評估報告為藍本進行分析。
一、資產評估前準備工作
(一)評估資產的界定
資產評估的對象是資產,資產系特定權利主體所擁有和控制的,能夠給特定權利主體所帶來未來經濟利益的經濟資源。由此決定了資產具有如下三個特征:一是資產是能夠為特定主體帶來經濟利益的經濟資源,而資產的價值取決于其能夠帶來的未來經濟利益的能力;二是資產必須是特定主體所擁有和控制。對于資產的擁有或控制主要體現在對資產產權的界定和保護上,資產的產權是與資產所有權相關的權利束,是基于所有權派生的一系列權利,通常包括對資產的占有權、使用權、收益權和處分權,這種權利束一方面表現為某項資產的完整產權,另一方面又具有可分解性,可以從中分離設定出不同類型的權利,相對于完整產權,被分離設定了部分權利的有限產權的權利人,行使資產權利就會受到分設權利時所承諾義務的限制。因此資產評估中的資產不應以所有權為界定依據,只要企業有控制權且能給企業帶來經濟利益,均可以納入評估的資產范圍。此外,對資產所有權或控制權的確立使特定主體對資產的相關權利具有了排他性,其他主體要取得相關權利就要付出相應的代價;三是資產的價值應當能夠以貨幣計量,能夠給特定主體帶來可量化的效用或利益的資產才是資產評估中所涉及的資產。
(二)資產評估要素的確定
一 | 確定評估當事人 |
評估當事人主要包括委托人、產權持有人和委托人以外的其他評估報告使用人。包括: 1、明確委托人即產權持有人基本情況(包括但不限于機構全稱、類型、所屬行業、注冊地址、注冊資本、經營范圍等) 2、明確評估報告使用人(確定使用人及使用范圍、使用方式等) 3、明確委托人和相關當事人之間的關系。如果是第三者對擬評估資產進行評估,一般應事先通知產權持有者,資產管理者和征得資產管理者的同意,這往往是執行評估業務的先決條件 | |
二 | 明確評估目的 |
詳細了解委托人具體的評估目的及與評估目的相關的事項。包括: 1、評估目的的依據(盡可能從委托人處取得經濟行為文件、合同協議、商業計劃書等與評估目的相關的資料) 2、評估目的的相關方(前述相關當事人) | |
三 | 確定評估對象和評估范圍 |
1、評估范圍的確定應服從于評估范圍的選擇 2、深入了解評估對象的基本情況。包括但不限于企業所屬行業、經營范圍、資產和財務概況、企業長期股權投資的數量和分布、評估對象為資產組合和單項資產的,應了解資產的具體類型、分布情況、特征和賬面價值等 3、為明確責任糾紛, 應由委托人(或經其授權被評估資產產權持有人或被評估企業)就具體評估對象所對應的評估范圍明細進行確認 | |
四 | 確定價值類型 |
一般情況下可以選擇的價值類型主要包括市場價值、投資價值、在用價值、清算價值和殘余價值,對于價值類型的選擇可以參考《資產評估價值類型指導意見》 | |
五 | 確定評估基準日 |
1、評估機構洽談人員根據專業知識和經驗,提示委托人合理選取評估基準日。以確保評估結論能夠有效服務于評估目的,確保現場調查、評估資料的收集等工作的開展 2、根據行業管理,對于企業價值的評估,基準日一般選擇為會計期末;對于法律法規有專門規定的,從其規定 | |
六 | 明確使用范圍 |
使用范圍主要包括評估報告使用人、目的及用途、使用時效和報告的摘抄引用和披露等事項 |
(三)調查手段和方法的確定
1、調查的手段
一 | 詢問 |
主要是在閱讀、分析評估申報資料的基礎上,與評估對象的管理、使用、采購、營銷等相關人員進行溝通。以了解資產規模、來源、使用現狀、未來利用方式等基本情況,或者企業經營狀況、歷史經營業績、行業地位、未來發展規劃等企業整體相關信息 | |
二 | 訪談 |
針對無法通過書面資料說明或證明的,尤其是涉及多個專業或部門、具有較大不確定性的綜合項目或事項,如資產的來源、在建項目的進展、企業財務狀況、企業經營計劃等。可采取訪談的方式,以便及時獲得全面的、綜合性的信息,以對評估對象的狀況做出合理判斷 | |
三 | 核對 |
進行賬表核對、賬實核實以及將申報內容與相關權證、文件載明的信息進行核對,了解資產的存在及法律權屬。如果存在盤盈盤虧等現象,還需要調查原因 | |
四 | 監盤 |
一是對參與企業組織的現金、存貨等資產的清查核對工作。二是主要對清查實施方案、人員安排、調查方式(逐項清查或者抽樣清查)、清查結果等進行了解。三是判斷清查結果能否反映實際狀況。 四是根據清査結果對資產數量、質量、金額等做出恰當的判斷 | |
五 | 勘察 |
對實物資產的數量、質量、分布、運行和利用情況(經營情況)等所做的調查,對相關技術檢測結果的收集、觀察,對其運行記錄和定期專業檢測報告的收集和分析等工作。在評估實務中,對特殊資產實施勘查 |
2、調查方式的選擇
一是逐項調查,即對納入評估范圍的所有資產及負債進行逐項核實,并進行相應的勘査和法律權屬資料核實。逐項調查主要適用于評估范圍內資產數量少、單項資產的價值量大,比如不動產評估項目;或者資產存在管理不善等風險,產權持有人或被評估單位提供的相關資料無法反映資產的實際狀況,并且從其他途徑也無法獲取充分、恰當的評估證據,比如停產多年的企業資產評估項目、企業破產清算項目等。
二是抽樣調查,即按一定程序從研究對象的全體(總體)中抽取一部分單位(樣本)進行調查或觀察獲取數據,并以此對總體的一定目標量作出推斷。主要是針對無法或不宜對評估范圍內所有資產、負債等有關內容進行逐項清查的項目,具體的抽樣調查方法較為多元,主要包括簡單隨機抽樣、分層抽樣、系統抽樣、整群抽樣、不等概率抽樣、多階段抽樣、重點項目抽樣等。其中,適用最多的是重點項目抽樣,即對納入評估范圍內的資產及負債,遵循重要性原則,對于價值量大的、關鍵或重要的資產進行調查。在進行抽樣調查時,要考慮到抽樣風險,并確保由抽樣調査形成的調查結論合理、能夠基本反映資產的實際狀況,抽樣誤差要適度。在進行抽樣調査時,其樣本選擇的理由要形成評估底稿。
二、資產評估流程
(一)資產評估目的的確定
資產評估特定目的貫穿了資產評估的全過程,會影響著對評估對象的界定、價值類型的選擇、評估方法的選擇等多方面內容。是進行資產評估之前必須要明確的重要事項。資產評估的結論必須要以資產評估目的為導向。結合具體的業務安排,目前我致殘評估業務涉及的評估目的主要包括但不限于轉讓定價,抵/質押,公司的設立、改制、增資等,財務報告、稅收評估、司法訴訟評估及其他等。
(二)資產評估計劃的擬定和調整
資產評估計劃為資產評估開展工作思路和實施方案。涵蓋評估開展主要過程、時間進度、人員安排等主要內容。
在評估正式開展前,應在了解資產評估業務基本事項的基礎上,結合資產評估目的以及相關管理部門對資產評估開展過程中的管理規定;評估業務風險、評估項目的規模和復雜程度;評估對象及其法律、經濟、技術、物理等因素;評估項目所涉及資產的結構、類別、數量及分布狀況;委托人及相關當事人的配合程度;相關資料收集狀況;委托人、評估對象產權持有人(或被評估單位)過去委托資產評估的情況、誠信狀況及其提供資料的可靠性、完整性和相關性;資產評估專業人員的專業能力、經驗及人員配備情況;與其他中介機構的合作、配合情況等主要因素,編制資產評估計劃。
確定具體評估步驟時,應明確如下要素:一是評估項目的背景和相關條件,包括評估目的、評估對象和評估范圍、價值類型、評估基準日、評估的重點和難點,參與本項目評估的其他中介機構;二是本次評估所采取的評估方法;三是應明確資產清查工作的重點及具體要求,如現場調查目標、現場調查工作總體時間安排、現場調查的主要內容、現場調查的協調方式等內容;應明確與參與本項目的審計、律師等其他中介機構的對接安排及注意事項等。
在評估工作推進過程中,由于前期資料搜集不齊全、現場調查受到限制或委托人提供資料不真實,工作推進后發現需要進一步補充資料和增加現場工作時間,從而造成未能按計劃完成進度。或者在業務推進過程中發現未預料到的資產類型或者業務形態,導致原計劃的評估技術思路無法滿足需要,又或者由于委托人經濟行為涉及的評估對象、評估范圍、評估基準日發生變化而導致的評估計劃不能如期推進的。應盡快與相關當事人進行溝通,根據已確定的方案進行調整、對部分評估工作作出重新安排、對評估技術方案進行修正。調整計劃要兼顧評估效率和工作質量的原則,充分利用已有的工作成果,將評估計劃調整導致的成本降低到最低水平。
(三)評估現場調查
現場調查主要是通過走訪,以便對影響資產價值的物理、技術、法律、經濟等因素進行客觀、全面的了解,為判斷資產整體狀況、估算資產價值提供合理依據。因此,現場調查主要是了解評估對象的現狀(核實評估對象的存在性和完整性、了解評估對象的現實狀況)、關注評估對象的法律權屬。
1、了解評估對象的現狀
一方面,要核實評估對象的存在性和完整性。其中,在評估對象的存在性上,主要判斷評估對象是否真實存在:實物資產主要是通過實地査看、核查合同、盤點、函證等方式核實其存在性;無形資產上主要是通過核査權屬文件、申請登記材料、技術文件、第三方證明文件等核實其存在性;應收賬款、股權或其他經濟權益主要是通過核查會計記錄、公司章程、權益證明、股權轉讓協議及函證等方式核實其存在性。評估對象的完整性要求上,主要是關注評估對象符合相關經濟行為對資產范圍的要求,能夠有效實現其預定功能。因此既要關注資產物理意義上的完整性,也要關注資產功能上的完整性。另一方面,要了解評估對象的現實狀況。對于評估對象現實情況的了解,既要與資產價值的影響因素相關,支持資產價值的評定和估算,也要能夠系統、全面、充分的反映資產價值的影響因素的實際情況。不同類型的評估對象其關注重點也各有不同:針對整體企業,主要關注企業的歷史沿革、主要股東及其持股比例、主要的產權和經營管理結構;企業的資產、財務、經營管理狀況;企業的經營計劃、發展規劃;影響企業經營的宏觀、區域經濟因素;企業所在行業現狀與發展前景等內容。針對房屋建筑物,主要關注取得方式、建筑物結構、建成時間、地址、用途、建筑面積、長度、寬度、層高、層數等。針對機器設備,主要關注設備名稱、生產廠家、規格型號、安裝地點、規定使用年限、購置日期、啟用日期、已經使用年限、設備使用狀況、設備維修情況等。針對存貨,通常應了解名稱及規格型號、計量單位、存放地點、數量、單價等。針對應收賬款等債權債務,則需了解債權債務人名稱、業務內容、發生日期、履約及回收情況等。
如果資產由于本身本身的特征、存放地點、法律限制等導致評估專業人員無法采用常規的調查技術手段對資產的數量、品質等進行實地勘查,又或者委托人或者其他相關當事人不提供資產明細資料、產權持有人或者被評估單位不配合進行現場調查工作等導致的現場調查受限時,如果所受限制并未對評估結果的合理性或評估目的所對應的而經濟行為構成重大影響,或者能夠采取必要措施彌補不能實施調查程序的缺失,則可以持續推進資產評估業務,但需要在工作底稿中予以說明,分析其對評估結論的影響程度,并在資產評估報告中以恰當的方式說明受限情況,所采取的替代程序的合理性以及其對評估結論合理性的影響。如果無法采用替代措施對評估對象進行勘查核實,或即使履行替代程序,也無法消除其對評估結論產生重大影響的事實。則必須終止執行評估業務。
2、多維度了解評估對象信息
公開資料方面,首先應從公開市場上獨立獲取相應資料,市場信息資料應包括交易所公布的股票交易信息、上市公司公開披露的資料、各類資產交易所公布的交易信息、各類資產市場交易信息等。直接獲得的市場信息往往存在信息不完備的特征,即可能未充分反映交易內容和條件,在收集市場信息時,應當盡可能全面,并進行必要的分析調整。
當事人資料方面,要從產權持有人及相關當事人處取得如下材料:一是與資產狀況相關的資料,如資產權屬證明、反映資產現狀的資料等,該部分材料主要通過現場調查程序取得。二是用于對資產價值進行評定估算的資料,如評估對象和評估范圍涉及的資產評估明細資料、資產最可能的持續使用方式、企業經營模式、收益預測等。對于上述資料,應要求相關當事人對其提供的評估資料以簽字、蓋章及法律允許的其他方式等進行確認。
監管及權威證明材料方面,應通過實地走訪和調研的方式獲取如下材料:一是宏觀經濟信息、產業統計數據(如庫存、生產情況、需求情況)等。查看各級政府部門的資料獲取企業相關的信息,如各級工商行政管理部門都保存有注冊公司的基本登記信息;二是從證券交易機構可以查詢上市公司資料,利用這些信息可了解資產所有者的狀況;了解其競爭對手狀況及其所處行業的情況;對于未上市公司,可從上市公司中挑選可比對象作為參照物,進行類比分析,了解相關狀況;三是從信息服務商或數據提供商中獲取上市公司或交易案例的相關信息,以便準確邊界的使用收益法和市場法進行分析;四是媒體信息,媒體的信息不僅包含原始信息,并且通常有一些分析信息,有助于評估專業人員加深對所需信息的理解,并能節約分析時間;五是行業協會或管理機構及其出版物,便于抓取有關產業結構與發展情況、市場競爭情況等信息,還能咨詢到有關專家的意見;六是學術出版物。
法律權屬資料方面,在現場調查時間,應取得評估對象的權屬證明,對于取得的權屬證明進行核查驗證,包括但不限于采用與原件核對,向有關登記管理機構查閱登記記錄等方式。針對不同的評估對象,權屬證明文件各有不同:如針對不動產、專利權、商標權、著作權、礦業權、車輛等實行產權登記制度的資產,權屬證明為相應的產權登記文件,比如房地產權證、房屋所有權證、土地使用權證、專利權證、著作權登記證書、采礦許可證、勘探許可證、車輛行駛證等;針對機器設備和存貨等,權屬證明主要包括購置合同、購置發票、付款證明、出庫入庫記錄等;針對企業價值評估涉及的股東全部權益和股東部分權益,權屬證明主要包括權屬證明主要包括公司章程、工商登記材料、股東登記名冊、出資證明、出資協議等;涉及國有資產的,還包括國有資產產權登記證。
對于超出資產評估專業人員專業能力范疇的核査驗證事項以及法律法規規定、客觀條件限制無法實施核查和驗證的事項,應當采取以下應對措施:一是對于超出資產評估專業人員專業能力范疇的核查驗證事項,委托或要求委托人委托其他專業機構出具意見;二是對于因法律法規規定、客觀條件限制無法實施核查和驗證的事項,應在工作底稿中予以說明,分析其對評估結果影響程度。如果無法核査驗證的資料是評估結論的重要依據,該資料的不確定性將較大程度影響評估結論的合理性,則應在評估結論中予以揭示。
(四)分析資料選用合理方法
首先,由于收集的資料難免存在失真的情況,要對失真的材料進行鑒別和剔除;其次,要對所收集的評估資料信息、數據的合理性、相關性進行分析,以提高評估資料的可靠性。在此基礎上,要恰當的選擇評估方法(資產評估方法包括收益法、市場法和成本法三種基本方法及其衍生方法,每種基本方法下還有具體的評估方法,在評估過程中應當根據評估目的、評估對象、價值類型、資料收集情況恰當選擇評估方法。選擇評估方法的過程中應當注意如下重要事項:一是評估方法的選擇要與評估目的、評估時的市場條件,被評估對象的具體情況,以及由此所決定的資產評估價值類型相適應;二是評估方法的選擇受到各種評估方法運用所需要的數據資料以及主要經濟技術參數能夠收集的制約,每種評估方法的運用所涉及的經濟技術參數的選擇,都需要有充分的數據資料作為基礎和依據。在評估試點以及一個相對較短的時間內,某種評估方法所需的數據資料的收集可能會遇到困難,當然也就會限制該評估方法的選擇和運用,在這種情況下,資產評估應考慮替代原理,選擇信息資料充分的評估方法進行評估。三是資產評估過程中所選擇和運用的某一方法,應當充分考慮該種方法在具體評估項目中的適用性、效率性和安全性,并注意滿足該種評估方法的條件要求和程序要求;四是在一些情況下,可以采取排除、否定其他評估方法的做法,作為決定采取某一種評估方法的理由。首先需簡單說明總體思路及主要評估方法和適用原因;其次要按照評估對象和所涉及的資產(負債)類型逐項說明所選用的具體評估方法,采用成本法的,應介紹估算公式,并對所涉及資產的重置價值及成新率的確定方法做出說明;采用市場法的,應介紹參照物(交易案例)的選擇原則、比較分析和調整因素等;采用收益法的,應介紹采用收益法的技術思路,主要測算方法、模型或計算公司,嗎,明確預測收益的類型,以及預測方法與過程,折現率的選擇和確定等情況。采用多種評估方法時,不僅要確保滿足各種方法使用的條件要求和程序要求,還應當對各種評估方法取得的價值結論進行比較,分析可能存在的問題并做出相應的調整,確定最終評估結果的準確性。
(五)評估技術說明
評估技術說明應考慮不同經濟行為和不同評估方法的特點介紹評定估算的思路及過程。
采用成本法評估單項資產或資產組合,采用資產基礎法評估企業價值,應當根據評估項目的具體情況以及資產負債類型編寫評估技術說明。各項資產負債評估技術說明應當包含資產負債的內容和金額、核實方法、評估值確定的方法和結果等基本內容。
采用收益法或市場法評估企業價值,評估技術說明通常包括影響企業經營的宏觀、區域經濟因素;所在行業現狀和發展前景;企業的業務情況;企業的資產、財務分析和調整情況;評估方法運用過程。
采用收益法進行企業價值評估,應當根據行業特點,企業經營方式和所確定的預期收益口徑以及評估的其他具體情況等編寫評估技術說明。企業的資產、財務分析和調整情況以及評估方法運用四是過程說明通常包括如下內容:一是收益法的應用前提及選擇理由和依據;二是收益預測的假設條件;三是企業經營、資產和財務分析;四是收益模型選擇理由及基本參數說明;五是收益期限及明確預測期的說明;六是收益預測的說明;七是折現率的確定說明;八是預測期后價值確定說明;九是其他資產和負債評估說明;十是評估價值。
采用市場法進行企業價值的評估,應當根據行業特點,被評估企業實際情況以及上市公司比較法或交易案例比較法的特點編寫評估技術說明。企業的資產、財務分析和調整情況以及評估方法運用四是過程說明通常包括如下內容:一是具體方法、應用前提及選擇理由;二是企業經營、資產和財務分析;三是分析選取確定可比企業或交易案例的說明;四是價值比率的而選擇及因素修正說明;五是評估對象價值比率的測算說明;五是評估價值。
(六)出具評估報告或形成評估結論
出具評估報告或評估結論應注意審慎性和合理性,具體而言,只有確保評估程序履行情況;評估資料完整性、客觀性、適時性;評估方法、評估技術思路合理性;評估目的、價值類型、評估假設、評估參數以及評估結論在性質和邏輯上一致性;對計算公式及計算過程正確性;對技術參數選取合理性;計算表格之間鏈接關系正確性;采用多種方法進行評估時,需審查對各種評估方法所依據的假設、前提、數據、參數可比性;最終評估結論合理性;評估報告合規性的前提下,評估報告或評估結論才有科學性。
根據《資產評估執業準則——資產評估報告》中相關規定,資產評估應以文字或數字的形式表述評估結論,并明確評估結論的使用有效期。評估結論通常是確定的數值,也可以是區間值或其他形式的專業意見。
(七)評估結論的外部審核
企業國有資產管理部門、金融企業國有資產管理部門和文化企業國有資產管理部門等管理的國有資產評估項目,要在形成評估報告或評估結論后,按照國家有關規定組織專家對其進行外部審核。根據現行的國有資產評估管理規定,對國有資產評估項目實行“核準備案”的管理制度,國有資產評估項目的核準備案通常實行專家評審制度,由國有資產管理部門組織專家對資產評估報告進行評審。審核主要包括以下內容:一是資產評估所涉及的經濟行為批準情況;二是評估基準日的選擇是否適當,評估基準日的選擇是否符合有關評估準則的規定要求;三是資產評估范圍與經濟行為批準文件確定的資產范圍是否一致;四是評估方法運用的合理性和評估依據的適當性;五是企業是否就所提供的資產權屬證明文件、財務會計資料及生產經營管理資料的真實性、合法性和完整性做出承諾;六是評估程序是否符合相關評估準則的規定;七是評估結論或評估報告是否符合相關準則的規定和要求。評估資產需要對外部審核意見進行分析,形成意見回復,并根據需要對評估結論或評估報告的相關內容進行補充或修改。
三、資產評估基本法——市場法
市場法,是指利用市場上同樣或類似資產的近期交易價格,經過直接比較或類比分析以估算資產價值的各種評估技術方法。市場法是根據替代原理,采用比較或類比的思路及方法估測資產價值的評估技術方法。采用市場法應有活躍的公開市場,并且市場上有可比的資產及其交易活動。其中,可比主要體現在功能、市場條件和成交時間三個方面,其中,功能上的可行要體現在用途、性能的相同和近似上,市場條件的可比主要體現在市場供求關系、競爭狀況和交易條件的相似上,成交時間的可比主要體現在與評估基準日相近,或時間對資產價值的影響可調整。

(一)市場法的執行步驟與可比因素
1、市場法適用的執行步驟
一是選擇參照物。參照物的選擇要存在可比性,包括功能、市場條件和成交條件等。另外,與被評估資產相同或相類似的參照物越多,越能充分體現和反映資產市場價值,但考慮到參照物的成交價不僅僅是自身功能的市場表現,還會受到買賣雙方交易地位、交易動機、交易時限等方面的影響。為避免某個參照物個別交易中的特殊因素和偶然因素對成交價及評估值的影響,運用市場法進行估值時參照案例數目要保證在3個以上,以盡可能地反映真實成交價。
二是要在被評估資產與參照物之間選擇比較因素。將具有可比性的交易實例作為與被評估資產對比分析、評估量化的比較參照物。從理論上講,影響資產價值的基本因素大致相同,如資產性質、功能、規模和市場條件等,但具體到每一種資產時,影響資產價值的因素又各有側重。如影響房地產價值的是地理位置、環境狀況等因素;技術水平則在機器設備評估中起主導作用;收入狀況、盈利水平、企業規模等因素在企業價值評估中相對更突出。所以運用市場法時應根據不同種類資產價值形成的特點和影響價值的主要因素,選擇對資產價值形成影響較大的因素作為對比指標,形成綜合反映參照物要被評估資產價值之間對照關系的比照參數體系,從多方面形成對比,使影響價值的主要因素得以全面反映。
三是要明確指標對比和量化的差異。在參照物及被評估資產之間進行參數指標的比較,并將兩者的差異進行量化。對比主要體現在交易價格的真實性、正常交易情形、參照物與被評估資產可替代性的差異等方面。
四是分析確定已經量化的對比指標之間的差異。市場法以參照物的成交價格作為評定、估算被評估資產價值的基礎,對所選定的對比參數體系中的各差異因素進行比較分析,通過多形式的量化途徑,形成對價值的調整結果。在實際操作中,需將已經量化的參照物與被評估資產之間的對比指標差異進行調增或調減,就得到以每個參照物價格為基礎的被評估資產的初步評估結果。
五是綜合分析確定評估結果。如果選擇多個參照物,將會形成多個初步評估結果。最終的評估值的形成,主要取決于對參照物的把握和對被評估資產的認識,如果參照物與被評估資產可比性都很好,評估過程中沒有明顯的遺漏或疏忽,可以采用算術平均法或加權平均法等方法將初步結果轉換為最終評估結果。
2、市場法可比因素的設置
運用市場法評估單項資產應考慮的可比因素主要包括資產的功能(資產的功能結合社會需求,從資產實際發揮效用的角度來考慮,亦即在社會需要的前提下,資產的功能越好其價值越高,反之亦然;正常情況下,市場化可比因素的設置,一般包括資產的實體特征和質量(具體包括但不限于資產的外觀、結構、役齡和規格型號等);市場條件(主要關注參照物成交時與評估時的市場條件及供求關系的變化情形。市場條件包含宏觀的經濟政策、金融政策、行業經濟狀況、產品的競爭情況和供求狀況等);交易條件(主要關注交易批量、交易動機、交易時間、交易批量等),上述因素不同,則交易對象的價格就可能會不同。
運用市場法評估一家企業的價值時,應同時考慮行業標準、財務標準和其他重要交易條款等,其中,行業標準的比照是因為同意行業的企業具有一定的可比性,確認被評估企業所屬行業時,可參考國民經濟行業分類、證監會的上市公司行業分類、國際通用的標準行業代碼等。在依照行業標準時,應盡量選取與被評估企業在主營業務收入結構、利潤結構、經營模式等方面相似的參照物。在財務標準的選擇上,需要通過必要的分析從業務類型及構成、市場、管理等方面進行比較,以此體現被評估企業和可比案例之間的風險和成長差異。在其他重要交易條款的設定上,應考慮股權評估交易的背景、交易日期、交易價格、收購股權的比重、影響交易價格的其他重要交易條款等。
(二)市場法常用的具體評估方法
市場法主要分為直接比較法和間接比較法:


其中間接比較法則是利用資產的國家標準、行業標準或市場標準(標準可以是綜合標準,也可以是分項標準)作為基準。分別將被評估資產和參照物整體或分項對比打分從而得到被評估資產和參照物各自的分值。再利用參照物的市場交易價格以及被評估資產的分值與參照物的分值的比值(系數)求得被評估資產價值的一類評估方法。該方法只要求參照物與被評估資產在大的方面基本相同或相似,通過被評估資產和參照物與國家、行業和市場的對比分析,掌握參照物與被評估資產之間的差異,在參照物成交價格的基礎上調整估算被評估資產的價值。考慮到間接比較法需要利用國家、行業或市場標準,應用起來存在較多局限,在資產評估實踐中應用并不廣泛。直接比較法是指利用參照物的交易價格,以被評估資產的某一或若干特征與參照物的同一及若干特征直接進行比較,得到兩者的特征修正系數或特征差額,在參照物交易價格的基礎上進行修正從而得到被評估資產價值的方法,如果只有一個可比因素不一致,則其基本計算公式為:

如果是有多個可比因素不一致,則其基本計算公式為:
被評估資產價值=參照物交易價格*修正系數1*修正系數2……*修正系數n
被評估資產價值=參照物交易價格±特征差額1±特征差額2……±特征差額n
當參照物與被評估資產的差異僅僅體現在某一基本特征上的時候,直接比較法會演變成為先行市價法、市價折扣法、功能價值類比法、價格指數法、成新率價格調整法、市場售價類比法、價值比率法等。
1、現行市價法
當被評估資產本身具有現行市場價格或與被評估資產基本相同的參照物具有現行市場價格的時候,可以直接利用被評估資產或參照物在評估基準日的現行市場價格作為被評估資產的評估價值。現行市價法是以成交價格為標準的,有的資產在市場交易過程中,報價或目錄價與實際成交價之間會因交易對象、交易批量等原因存在差異,在運用現行市價法時要注意被評估資產或參照物在評估基準日的現行市場價格要與被評估資產的價值內涵相同。
2、市價折扣法
以參照物成交價格為基礎,考慮到被評估資產在銷售條件、銷售時限或銷售數量等方面的差異,按照專業標準或有關部門的規定,設定一個價格折扣率來估算被評估資產價值的方法。其計算公式為:
資產評估價值=參照物成交價格*(1-價格折扣率)
這一公式假設被評估對象享受的價格折扣比參照物大,而實際評估工作中并不一定如此。
此方法一般只適用于被評估資產與參照物之間僅存在交易條件方面差異的情形。評估某擬快速變現資產,在評估基準日與其完全相同的參照物正常變現價為10萬元,經資產評估綜合分析,認為快速變現的折扣率應為50%。因此,確定該擬快速變現資產的評估價值=10×(1-50%)=5萬元
3、功能價值類比法
功能價值類比法是以參照物的成交價格為基礎,考慮參照物與被評估資產之間的功能差異進行調整來估算被評估資產價值的方法,根據資產的功能與其價值之間的關系可分為線性關系和指數關系兩種類型。

當資產價值與其功能呈線性關系時,通常被稱作生產能力比例法,其計算公式為:
資產評估價值=參照物成交價格*(評估對象生產能力/參照物生產能力)
如被評估資產年生產能力為90噸,參照資產的年生產能力為120噸,評估基準日參照資產的市場價格為10萬元,由此確定被評估資產的評估價值=10×90÷120=7.5萬元
當資產價值與其功能呈指數關系時,通常被稱作規模經濟效益指數法,其計算公式為:
資產評估價值=參照物成交價格*(評估對象生產能力/參照物生產能力)X
其中X為功能價值指數。
如被評估資產年生產能力為90噸,參照資產的年生產能力為120噸,評估基準日參照資產的市場價格為10萬元,該類資產的功能價值指數為0.7,由此確定被評估資產的評估價值=10×(90÷120)0.7=8.18(萬元)
4、價格指數法
價格指數法又稱物價指數法,是基于參照物的成交時間與被評估資產的評估基準日之間的時間間隔引起的價格變動對資產價值的影響,以參照物成交價格為基礎,利用物價變動指數(價格指數)調整參照物成交價從而得到被評估資產價值的方法。其計算公式為:
資產評估價值 = 參照物成交價格*(1+價格變動指數)
如:與被評估資產完全相同的參照資產6個月前的正常成交價格為10萬元,半年期間該資產的價格上升了5%,則被評估中資產的評估價值=10*(1+5%)=10.5萬元。
結合市場參數的不同,基本式“資產評估價值 = 參照物成交價格*(1+價格變動指數)”可以演變為兩種方式:
一種變形是:資產評估價值=參照物資產交易價格*(1+評估基準日同類資產定基價格變動指數)/(1+參照物交易日同類資產定基價格變動指數)
在具體運用上,如被評估房地產于2020年6月30日進行評估,該類房地產2016年上半年各月月末的價格同2019年年底相比,分別上漲了2.5%、5.7%、6.8%、7.3%、9.6%和10.5%。其中參照房地產在2020年3月底的正常成交價格為3800元/平方米,則被評估房產于2020年6月30日的價值 = 3800×(1+10.5%)/(1+6.8%)=3932元/平方米。
另一種變形是:資產評估價值 = 參照物資產交易價格 * 參照物交易期日至評估基準日各期(1+環比價格變動指數)的乘積。
在具體運用上,已知某參照物資產在2020年1月初的正常交易價格為300萬元,該種資產已不再生產,但該類資產的價格變化情形如下:2020年1~5月的環比價格指數分別為103.6%、98.3%、103.5%和104.7%。被評估資產于2020年5月初的評估價值 = 300×103.6%×98.3%×103.5%×104.7%=331.1萬元。
根據基期的不同可區分為定基價格指數和環比價格指數。
(1)定基指數及其運用
定基指數是基期固定的增長率,因此:
定基價格變動指數=(當年實際物價—基年物價)/基年物價
定基價格指數=當年實際物價/基年物價
定基價格指數=1+定基價格變動指數
如果能夠獲得參照物和被評估資產的定基價格指數或定基價格變動指數,價格指數法的數學式可以概括為:
資產評估價值=參照物資產交易價格*評估基準日資產定基價格指數/參照物交易日資產定基價格指數
(2)環比指數及其運用
環比指數是基期不固定的(僅同上期比)的增長率,所以:
環比價格指數(%)=當年定基價格指數/上年定基價格指數
環比價格變動指數

如果能夠獲得參照物和被評估資產的環比價格指數或環比價格變動指數,價格指數法的數學表達式為:
資產評估價值=參照物資產交易價格*參照物交易日至評估基準日各期環比價格指數乘積
整體而言,價格指數法一般運用于被評估資產與參照物之間僅有時間因素存在差異的情形,且時間差異不能過長。
5、成新率價格調整法
成新率價格調整法是以參照物的成交價格為基礎,考慮參照物與被評估資產新舊程度上的差異,通過成新率調整估算出被評估資產的價值,其計算公式為:
資產評估價值= 參照物成交價格*被評估資產成新率/參照物成新率
資產成新率= 資產的尚可使用年限/(資產的已使用年限+資產的尚可使用年限)*100%
成新率價格調整法只運用于被評估資產與參照物之間僅有成新程度差異的情形。
6、市場售價類比法
市場售價類比法是以參照物的成交價格為基礎,考慮參照物與被評估資產在功能、市場條件和銷售時間等方面的差異,通過對比分析和量化差異,調整估算出被評估資產價值的一種方法。其計算公式為:
資產評估價值 = 參照物售價 + 功能差異值 + 時間差異值 + …… + 交易情況差異值
資產評估價值=參照物售價 * 功能差異修正系數 * 時間差異修正系數
7、價值比率法
價值比率法是利用參照物的市場交易價格,與其某一經濟參數或經濟指標相比較形成的價值比率作為乘數或倍數,乘以被評估資產的同一經濟參數或經濟指標,從而得到被評估資產價值的一種具體評估方法。價值比率法中的價值比率種類眾多,包括了盈利類指標的價值比率,如息稅前收益價值比率,稅后現金流量價值比率和每股收益價值比率(市盈率)等;收入類指標的價值比率,如銷售收入價值比率(市銷率);資產類指標的價值比率,如凈資產價值比率、總資產價值比率等。其他類指標的價值比率,如成本市價比率等。
價值比率法通常被用作評估企業價值,由于企業存在規模、營利能力等方面的差異,因此為增強可比性,需要采取某種可比的價值聯系,將待估企業與可比企業的價值聯系起來。這種聯系通常可以用價值比率來反映,對其進行調整,得到待估企業的價值比率。根據選取的可比參照物不同,分為“上市公司比較法”和“交易案例比較法”。上市公司比較法是獲取并分析可比上市公司的經營和財務數據,計算適當的價值比例,在與被評估企業比較分析的基礎上,確定待估企業價值的具體方法。上市公司比較法中可比企業應當是公開市場上正常交易的上市公司,交易案例比較法是指獲取并分析可比企業的買賣、收購及合并案例資料,計算適當的價值比率,在于待估企業比較分析的基礎上,確定待估企業價值的具體方法,運用交易案例比較法時,應當考慮待估企業與交易案例的差異因素對價值的影響。價值比率法應關注如下重點:
一是可比參照物相關數據信息來源及可靠性。因為市場法評估最主要的就是依賴可比參照物的數據來確定待估企業的價值。因此,前者的數據是否真實可靠就顯得尤為重要,這不僅需要保證數據的真實性,同時也要保證所獲得的數據的途徑是合法的、有效的。
二是確定可比參照物的可比標準。需要考慮企業生產的產品或提供的服務是否相同或相似,或者企業的產品或服務是否都受到相同經濟因素的影響;考慮待估企業與可比企業的規模和獲利能力是否相似,考慮到企業規模和生產能力之間并非呈現完美的線性關系,通常存在規模效應,所以如果企業規模差異較大,其獲利能力可能失去可比性,因此,應當選取規模較為相似的企業進行比較;考察未來成長性是否相同或相似。企業當前的價值來自于其未來的獲利能力,成長性差異較大的公司,通常所處的生命周期不同,對于當前時點的可比性就存在較大差異。因而在評估過程中應將這一要素考慮在內。
三是可比參照物數量的把握,上市公司要設置較為嚴苛的可比標準,選擇最為可比的企業或企業組合,如果選用交易案例,則盡可能選擇多個可比案例。
四是價值比率的選取。由于價值比率在可比企業與待估企業的價值之間建立了一座橋梁,而這座橋梁,而這座橋梁是否能夠更好的反映價值就成為選取價值比率的關鍵。所以,虧損企業一般不采用與凈利潤相關的價值乘數;可比參照物與待估企業的資本結構存在較大差異,則不宜選擇部分投資口徑的價值乘數;輕資產企業不宜選擇與資產規模相關的價值乘數,而應該更多的考慮與收益相關的指標;對于成本和利潤比較穩定的企業,可以采用收益口徑的價值乘數進行評估;可比參照物與待估企業的稅收政策不一致,偏向于采用與扣稅前收益相關的指標,從而避免由于稅收不一致而導致的價值差異性。
盡管價值比例有很多種,但在評估實務中,最常用的有市銷率、市凈率和市盈率等。目前常采用的價值比率類型通常都是如下設置:
比率 = 分子/分母,其中:
分子代表價值(即權益價值、企業價值),分母則代表了與價值相關的參數(如凈利、收入等)。價值比率主要有盈利比率,資產比率,收入比率和其他特定比率,價值比率的實質就是單位價值的概念。具體而言:
盈利價值比率 = 企業整體價值或股權價值/盈利類參數
收入價值比率 = 企業整體價值/銷售收入
資產價值比率 = 企業整體價值或股權價值/資產類參數
其他特殊價值比率 = 企業整體價值或股權價值/特殊類參數

價值比率法通常被用作評估企業價值,實務中最常用的有成本市價法、市盈率倍數法、市銷率法,市凈率法等。其中,
成本市價法是以被評估資產的現行合理成本為基礎,利用參照物的成本市價比率來估算被評估資產價值的方法。其計算公式為:
資產評估價值 = 被評估資產現行合理成本 * 參照物成交價格/參照物現行合理成本
如評估基準日某設備的成本市價率為150%,已知被股全新設備的現行合理成本為20萬元,則其評估價值為20*150%=30萬元。
市盈率倍數法,主要適用于企業價值的評估,市盈率倍數法是以參照物(企業)的市盈率作為乘數(倍數),其中市盈率=股票價格/每股收益,以市盈率與被評估企業相同口徑的收益額相乘估算被評估企業價值的方法。

如某被評估企業的年凈利潤為1000萬元,評估基準日資本市場上同類去也平均市盈率為20倍,則該企業的評估價值就是1000 * 20 = 20000萬元。
當參照物與被評估資產的差異不僅僅體現在某一特征上的時候,上述評估方法,如現行市價法、市價折扣法、功能價值類比法、價格指數法和成新率價格調整法等的運用就可以演變成參照物與被評估資產各個功能修正系數的計算了,如交易情形修正系數(正常交易情形/參照物交易情形),功能價值修正系數(被評估資產生產能力/參照物生產能力)、交易時間修正系數(被評估資產的定基價格指數/參照物的定基價格之歌)和成新程度修正系數(被評估資產成新率/參照物成新率)等。
如某面積為1000平方米商業用房,因聯營需進行評估,評估基準日為2016年10月31日。房地產交易市場上找到三個成交時間與評估基準日接近的商用房交易案例,具體情況如下表所示。單位:元/m2

被評估對象與參照物結構相似、新舊程度相近,故無需對功能因素和成新率因素調整。被評估對象所在區域的綜合評分為100,三個參照物所在區域條件均比被評估對象區域好,綜合評分分別為107、110和108。當時房產價格月上漲率為4%,故參照物A的時間因素調整系數為:117/100;參照物B的時間因素調整系數:104/100;參照物C因在評估基準日當月交易,故無需調整。三個參照物成交價格的調整過程如下:

被評估資產單價=(125,747+105,418+107,331)÷3=112,832元
被評估資產總價= 112,832 ×1000=112,832,000元
直接比較法具有適用性強,應用廣泛的特點,雖然比較直觀,簡單明了,但這一方法強調參照對象與被評估資產之間的可比性,影響被評估資產價值的因素較多,如可能同時有時間因素、價格因素、功能因素、交易條件等因素存在。另外,該法對信息資料的數量和質量要求較高,并需要相當程度的專業判斷。因為,直接比較法可能要對參照物與被評估資產的若干可比因素進行對比分析和差異調整。沒有足夠的數據資料以及對資產功能、市場行情的充分了解和把握,很難準確的評定估算出被評估資產的價值。
在上述各種具體的評估方法中,許多具體評估方法既適用于直接評估單項資產的價值,也適用于在市場法中持股車評估標的與參照物之間某一種差異的調整系數或調整值。在市場經濟條件下,單項資產和整體資產都可以作為交易對象進入市場流通,不論是單項資產還是整體資產的交易實例都可以為運用市場法進行資產評估提供可參照的評估依據。
(三)市場法的適用范圍和局限
市場法通常被用于評估具有活躍公開市場且具有可比成交案例的資產。比如二手機器設備和房地產以及部分軟件著作權等,通常二手設備市場可以成為機器設備評估的重要參照物選取市場;房地產評估則更多的選取其所在區域范圍的類似資產。市場法被用于評估整體資產價值時,通常是用來評估企業價值。其中,最常用的是價值比率法,以參照企業的價值比率作為調整手段,以此比率與待估企業的相關的財務指標(如利潤、息稅前利潤、銷售收入)相乘估算待估企業價值。除了上述所經常使用的市盈率外,用來評估企業價值的乘數還有很多種類。在實務中,通常需要根據被評估企業自身和所在行業特征綜合判斷采用一種或幾種價值比率進行評估。
市場法作為目前資產評估的重要方法之一,有其重要的意義和優勢,它是相對來說具有客觀性的方法,也比較容易被交易雙方所理解和接受。因而如果不存在資產的成本和效用以及市場對其價值的認知嚴重偏離的情形下,市場法通常是資產評估三種方法中較為有效哦、可理解和客觀的方法。在經濟較為發達,市場認知較為穩定的國家,市場法是運用較為廣泛的方法。它不僅被用于包括設備和房地產在內的單項資產評估,還被用于企業整體資產評估之中。
但是此方法強調參照對象與被評估資產之間的可比性,影響被評估資產價值的因素較多,如可能同時有時間因素、價格因素、功能因素、交易條件因素的存在。而且該方法的使用,對信息資料的數量和質量要求較高,而且要求評估專業素養有一定的要求。
四、資產評估基本法——收益法
收益法是指通過估測被評估資產未來預期收益的現值,來估算資產價值的各種評估技術方法的總稱,該方法采用資本或折現的途徑及其方法來判斷和估算資產價值。該評估思路是任何一個理智的投資者在購置或投資某一項資產時,所愿意支付或投資的貨幣數額不會高于所購置或投資的資產在未來能給其帶來的回報。收益法利用投資回報和收益折現等技術,把評估對象的預期獲利能力和獲利風險作為兩個相輔相成的關鍵指標來估測評估對象的價值,該方法用數學式可以表示為:

式中:P表示評估價值;Ri表示未來第i年的預期效益;r表示折現率;n表示收益年限;i表示年序號。上式用圖示表示為:

(一)收益法的適用范圍
因為收益法是依據資產未來預期收益經折現或本金華處理來估測資產價值的,因此其使用會涉及到三個基本要素,分別為被評估資產的預期收益、折現率或資本化率、被評估資產取得預期收益的持續時間。因此,應用收益法必須具備的三個前提條件,即未來預期收益可以被預測并可以用貨幣來衡量;獲得預期收益所承擔的風險可以被預測并可以用貨幣來衡量;預期獲利年限可以被預測。
上述條件表明,首先,評估對象的預期收益必須能被較為合理的估測,因此被評估資產與其經營收益之間應存在著較為明確的比例關系,同時,影響資產預期收益的主要因素,包括主觀因素和客觀因素也應比較明確,評估時可以據此分析和測算被評估資產的預期收益。其次,被評估資產所具有的行業風險,地區風險以及企業風險是可以比較和測算的,這是測算折現率或資本化率的基本參數之一。評估對象所處的行業不同,地區不同和企業差別就會不同程度的體現在資產擁有者的獲利風險上。對于投資者來說,風險大的投資,要求的回報率就高,投資風險小,其回報率也可以相應降低。最后,評估對象獲利期限的長短,也即評估對象的壽命,也是影響其價值和評估值的重要因素之一。
(二)收益法的基本步驟和基本參數
1、收益法的基本步驟
從收益法的概念可以發現,資產未來的預期收益和風險的量化是收益法應用的主要工作,因此,收益法的工作環節應做如下安排:一是搜集或驗證與評估對象未來預期收益有關的數據資料,包括但不限于資產配置、生產能力、資金條件、經營前景、產品結構、銷售狀況、歷史和未來的財務狀況、市場形勢和產品競爭、行業水平、所在地區收益狀況及經營風險等;二是分析測算被評估資產的未來預期收益;三是分析測算折現率或資本化率;四是分析測算被評估資產預期收益持續的時間;五是用折現率或資本化率將評估對象的未來預期收益折算成現值;六是分析確定評估結果。
2、收益法的主要參數
運用收益法進行評估涉及許多經濟技術參數,最為核心的包括收益額、折現率和收益期限三項。
一是收益額。資產評估中,資產的收益額是指根據投資回報的原理,資產在正常情形下所能得到的歸其產權主體的所得額。收益額是資產未來預期收益額,而不是資產的歷史收益額或現實收益額;用于資產評估的收益額是資產的客觀收益。一般而言,資產預期收益類型主要包括凈利潤、凈現金流量、利潤總額。其中,前兩者均屬于稅后凈收益,為資產持有者收益。二者之間的關系為:凈現金流量=凈利潤+折舊-追加投資(包括資本性支出和營運資金追加投資)。因為凈現金流量是按照收付實現制確定的,凈現金流更適合做預期收益指標,一方面凈現金流量能夠更準確的反映資產的預期收益。凈現金流量包含了計算凈利潤時扣除的折舊和攤銷等非現金性支出,反映了當期企業可自主支配的實際現金凈流量。折舊和攤銷是會計上對企業已發生資本性支出的回收安排,作為非付現項目歸集在企業的成本費用之中,但備齊抵減的收入實際上已經歸入企業,并成為企業可以自主支配的現金,將其作為企業預期收益的一部分具有合理性;另一方面,凈現金流量體現了資金的時間價值,不僅是對數量的描述,而且與發生的時間密不可分。
預測未來收益的方法業界通用的是時間序列法,因素分析法。其中,時間序列法是建立資產以往收益的時間序列方程(根據歷史數據,用回歸分析的統計方法獲得),然后假定該時間序列將會持續。因此主要適用于資產的收益隨著時間的推移,呈現出平穩增長趨勢(評估基準日前后均保持這一趨勢)。因素分析法則是一種間接預測收益的方法,需要首先確定影響一項資產收入和支出的具體因素,然后建立收益與這些因素之間的數量關系,同時對因素未來可能的變動趨勢進行預測,最終估算出基于這些因素的未來收益水平。
二是折現率。折現率是一種期望投資報酬率,是投資者在投資風險一定的情形下,對投資所期望的回報率。折現率由無風險報酬率和風險報酬率組成,其中無風險報酬率又稱安全利率,是沒有投資限制和障礙,任何投資者都可以投資并能夠獲得的投資報酬率,在實踐中常參考同期政府債券收益率。風險報酬率是對風險投資的一種補償,在數量上超過無風險報酬率之上的,統籌行業風險、經營風險、財務風險和其他風險基礎上的投資回報率。確定折現率的方法主要有加和法、資本成本加權法、市場法等。其中,加和法就是以折現率包含的無風險報酬率和風險報酬率兩部分分別求得數值,然后匯總加和,即折現率=無風險報酬率+風險報酬率。其中,無風險報酬率大多使用較長期的政府債券收益率(1年或1年以上)作為基本收益率。在實務中,具體采用的政府債券收益期間,應與評估對象的預期收益期間相匹配。而風險報酬率則要充分考慮市場風險(包括但不限于行業的總體狀況、宏觀經濟狀況、資本市場狀況、地區經濟狀況、市場競爭狀況、法律法規約束、國家產業政策等);與被評估資產相聯系的風險(主要包括但不限于產品或服務的類型、企業規模、財務狀況、管理水平、資產狀況、收益數量和質量、區位因素等)。資本資產定價模型(capital assetpricing model,即CAPM)是通過β系數來量化折現率中的風險報酬率部分的常用方法。計算公式為:Ri=Rf+β(Rm-Rf)。其中,R代表被評估企業所在行業(或自身)的投資報酬率;Rm代表市場平均收益率;Rf代表無風險報酬率;β代表風險系數。其中Rf所代表的無風險報酬率,沒有投資違約風險。這一點通常只有主權國家的政府信用才可以保證;在特定的時間內,完成投資和再投資可以確定,這一數值通常取我國中長期國債的到期收益率平均值。(Rm-Rf)表示市場平均風險報酬率,又稱為系統性市場風險。它的本質是進行股權投資預期獲得的超過無風險的收益率,也可以用ERP(股權超額風險回報率)來表示。β系數的確定則主要適用于股權被頻繁交易的上市公司的評估。對于非上市公司來說,可以參照上市公司中情形相似的公司的β系數來確定自己的β系數,或者先確定公司所在的行業的β系數,計算行業風險報酬率。β系數是通過對單只股票價格變動和到變動的歷史數據統計分析得出,是股票與大盤之間聯動性的表現,所反映的是某一只股票的股價變動相對于大盤的表現情形,體現其收益變化幅度相對于大盤的變化幅度。絕對值越小,顯示其變化幅度相對于大盤而言越小,如果是負值,表明其與大盤呈相反方向變動,體現該股票與投資風險與大盤呈現負相關性。如β系數為1,則說明當大盤整體上漲10%時,該只股票的報酬率上漲10%;反之,則下降10%。如果β系數為1.1,則說明市場整體上漲10%時,該只股票上漲11%;如果β系數為0.8,則市場整體變動10%時,則該只股票同向變動8%。實際中,一般用單只股票資產的歷史收益率對同期大盤指數收益率進行回歸,回歸系數就是β系數。盡管當前實務中多采用單只股票歷史數據得出β系數,但作為未來預期收益的折現率計算指標之一,它所反映的應當是未來的變動情形。因此,不應當簡單地直接使用歷史β系數,而應該在充分分析被評估企業當前及未來發展狀況的情形下,對其歷史的β系數調整為能夠反映未來情形的值,從而更為貼切地反映未來收益風險的變化情形。資本成本加權法是以企業的各種資本在企業全部資本中所占的比重為權數,對各種長期資金的資本成本加權平均計算出來的資本總成本。把資產視作投入資金總額,即構成一個持續經營的所有有形資產和無形資產減去流動負債的凈額,那么企業資產可以理解為長期負債與所有者權益之和。也即:
資產=長期負債+所有者權益。折現率=長期負債占資產總額的比重×長期負債利息率×(1-所得稅率)+所有者權益占資產總額的比重×投資報酬率。其中,投資報酬率=無風險報酬率+風險報酬率,在企業價值評估中一般使用股權資本報酬率。市場法是通過尋找與被評估資產相類似的資產的市場價格以及該資產的收益來倒求折現率,而不像加和法那樣由折現率的各組成部分相加得出。

被評估資產的折現率=(∑樣本資產的收益/樣本資產價格)/n
其中,樣本資產是指與被評估資產在行業、銷售類型、收益水平、風險程度、流動性等方面相類似的資產。該方法的選取要是具體評估對象而定。
三是收益期限。是指資產具有獲利能力并產生資產凈收益的持續時間。通常以年為單位,由評估專業人員根據被評估資產自身效能、資產未來獲利能力、資產損耗等情形及相關條件及有關法律、法規、契約、合同等加以確定。具體分為有限期和無限期(永續)。其中,無限期(永續)是如無特殊情形,資產使用比較正常且沒有對資產的使用年限進行限定,或者這種限定是可以解除的,并可以通過延續方式永續使用,則可假定收益期為無限期。有限期則是收益期限受到法律、合同等規定的限制,則應以法律或合同規定的年限作為收益期。資產沒有規定收益期限的,可按其正常的經濟壽命確定收益期,即資產能夠給其擁有者帶來最大收益的年限。收益增長模型主要包括兩階段增長模型、三階段增長模型和永續增長模型三種,其中兩階段增長模型中,第一階段為觀測期(3-5年)。其增長率高于第二個階段的增長率;第二階段被稱為永續增長階段,增長率為正常穩定的增長率,是對觀測期以外時間跨度的年均復合增長率預期。這兩個階段的劃分通常以企業預期達到穩定的年份為標準。三階段增長模型系由Sherman Chattiner等于1965年在《普通股定價—原則、目錄和應用》中提出,主要區分如下幾個階段,第一階段是成長階段,由于生產新產品并擴大市場份額,公司取得快速的收益增長。第二階段是過渡階段,公司的收益開始成熟并且作為整體的經濟增長率開始減速,在這一點上,公司處于成熟階段,公司收入繼續以整體經濟的速度增長。第三階段是超常階段假設紅利的增長率為常數。永續增長模型則是將未來收益的增長率假設為一個確定的值,通常被用于較為成熟的公司價值評估。
3、收益法的主要技術方法
收益法實際上是在預期收益還原思路下若干具體方法的集合。收益法中的具體方法可以分為若干類,一是針對評估對象未來預期收益有無限期的情形劃分,二是針對評估對象預期收益的情形劃分,可分為等額收益評估方法、非等額收益評估方法等。

上述公式在凈收益不變、凈收益在若干年后保持不變、凈收益按等差級數變化、凈收益按等比級數變化等不同情形中,會發生不同變形:
(1)當凈收益不變時,如下圖所示:

當收益永續,各因素不變時,其計算公式為:P=A/r
其成立條件是:凈收益每年不變;資本化率固定且大于零;收益年期無限。
如被評估資產為一未公開的食品配方。預計在未來無限年期其所產生的年收益為100萬元,資本化率為10%。則該食品配方的價值P=A/r=100/10%=1000(萬元)
當收益年期有限,折現率等于零時,其計算公式為:P=A×n
其成立條件是:凈收益每年不變;收益年期有限為n;折現率為零。
當收益年期有限,折現率大于零時,其計算公式為:

如被評估資產為某一服裝品牌的特許經營權。根據許可方與被許可方所簽訂的合同,在評估基準日,該品牌的尚可使用年限為5年。根據以往的經營數據和市場對該品牌的認可程度,預計其未來年收益將會維持在200萬元。折現率假定為15%,則該品牌的特許經營權價值為:

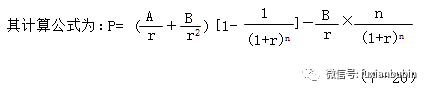
(2)當凈收益在若干年后保持不變,又可細分為無限年期收益和有限年期收益。其中
如果是無限年期收益,則

其成立要滿足四個條件,一是凈收益在n年(含第n年)以前有變化;二是凈收益在n年(不含第n年)以后保持不變;三是收益年期無限;四是r大于零。
如某宗房地產預計未來5年凈收益為20萬元、24萬元、25萬元、28萬元、32萬元。從第六年到未來無限期,每年凈收益為40萬元,資本化率為10%。求房地產價格。如果收益年限為50年,再求房地產價格,具體計算過程如下:

如果是有限年限收益,則

其成立應滿足的條件是凈收益在t年(含第t年)以前有變化;凈收益在t年(不含第t年)以后保持不變;收益年期有限為n;r大于零。
(3)凈收益按等差級數變化
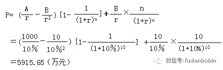
一是在凈收益按等差級數遞增,收益年期無限的條件下:

其成立條件:凈收益按等差級數遞增;凈收益逐年遞增額為B;收益年期無限;r大于零。如某宗房地產預計未來第一年的凈收益為9萬元,此后每年的凈收益會在上一年的基礎上增加2萬元,收益年限可視為無限年,利率為9%。求房地產價格。

二是在凈收益按等差級數遞增,收益年期有限的條件下:

其成立條件要求:凈收益按等差級數遞增;凈收益逐年遞增額為B;收益年期有限為n;r大于零。
三是在凈收益按等差級數遞減,收益年期無限的條件下:

其成立條件:凈收益按等差級數遞減;凈收益逐年遞減額為B;收益年期無限;r大于零;收益遞減到零為止。但在實操層面,資產產權主體會根據替代原則,在資產收益遞減為零之前停止使用該資產或變現資產,不會無限制地永續使用下去。
四是在凈收益按等差級數遞減,收益年期有限的條件下,其計算公式如下:

其成立條件:凈收益按等差級數遞減;凈收益逐年遞減額為B;收益年期有限為n;r大于零。如,根據被評估企業的章程,其于評估基準日的剩余經營年期為10年,且實際控制方也沒有繼續經營的意愿。若該企業未來10年的年凈利潤將保持每年10萬元的減少額,且當前的年收益為1000萬元。假定折現率為10%,該企業的股東全部權益為:

(4)凈收益按等比級數變化
一是在凈收益按等比級數遞增,收益年期無限的條件下:

其成立條件:凈收益按等比級數遞增;凈收益逐年遞增比率為s;收益年期無限;r大于零且r>s>0。如某房地產預計未來第一年的凈收益為130萬元,此后每年的凈收益會在上一年的基礎上增長3%,收益年限無限年,資本化率10%。則其收購價格為:

二是在凈收益按等比級數遞增,收益年期有限的條件下:

其成立條件:凈收益按等比級數遞增;凈收益逐年遞增比率為s;收益年期有限;r大于零且r>s>0。如,某房地產預計未來第一年凈收益為120萬,此后在使用50年內每年凈收益在上一年基礎上增長3%,資本化率10%,則其收益價格為:

三是在凈收益按等比級數遞減,收益年期無限的條件下:

其成立條件:凈收益按等比級數遞減;凈收益逐年遞減比率為S;收益年期無限;r大于零且r>s>0。
四是在凈收益按等比級數遞減,收益年期有限的條件下:

其成立條件:凈收益按等比級數遞減;凈收益逐年遞減比率為s;收益年期有限為n;r大于零且0<s≤1。
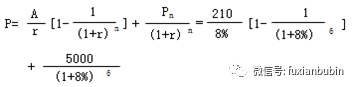
五是已知未來若干年后資產價格的條件下:

其成立條件:凈收益在第n年(含n年)前保持不變;預知第n年的價格為Pn;r大于零。如,某宗房地產現行價格3000元/m2,年凈收益為210元/m2, 利率8%。該地區將興建學校,將在6年后建成投入使用,該城市同類房產價格5000元/m2 。據此,學校區域的房產價格達到5000元/m2。則學校建成后房地產價格為:

(三)收益法的適用范圍和局限性
收益法評估的適用范圍上,需結合資產的類型進行區分。其中,單項資產上主要適用于無形資產(專利或專有技術、商標、著作權、客戶關系、特許經營權等);房地產(既有收益性的房產類別,比如商鋪、酒店、寫字樓等);機器設備(可出租的機器設備或刻度產生現金流的生產線、成套設備);其他資產(例如非上市交易的股票、債券、長期應收款、長期股權投資、投資性房地產等)。在整體資產評估中的應用通常是對企業價值進行評估。因為企業經營的本質是獲得收益,收益法與其他評估方法相比更能體現企業存在和運營的本質特征。通常情形下,在評估過程中需要依據收益的不同口徑,選擇不同的收益法:

常見的方法有股利折現模型、現金流折現模型、經濟利潤模型,具體對應如下圖:

整體而言,收益法通常占據極為重要的地位,與傳統生產線企業相比,輕資產企業所擁有的固定資產、有形資產較少,其獲利來源主要體現在企業財報中大量的無形資產之中,因此,如果采用成本法對其進行評估,則其作為盈利主體而具有的價值可能無法全面體現出來,企業價值或被嚴重低估,在此狀況下,收益法更為合理。可以明確的是,收益法較適宜于那些形成資產的成本費用與其獲利能力不對稱,成本費用無法或難以準確計算,存在無形資源性資產以及具有收益能力的資產,例如企業價值、無形資產、資源性資產等的價值評估。
收益法評估的局限性也顯而易見,一是對于沒有收益或收益無法用貨幣計量以及風險報酬率無法計算的資產,該方法將無法使用。二是收益法的操作含有較大成分的主觀性,從而使評估結果較難把握。三是收益法的運用也需要一定的市場條件,否則一些數據的選取就會存在困難。
注:文章為作者獨立觀點,不代表資產界立場。
題圖來自 Pexels,基于 CC0 協議
本文由“負險不彬”投稿資產界,并經資產界編輯發布。版權歸原作者所有,未經授權,請勿轉載,謝謝!

負險不彬 










